当前位置:首页>>樱桃视频APP污下载入口网站资讯
静压跟随式差压樱桃视频入口在线观看在线检测装置的分析研究
发表时间:2019-04-19| 联系电话:15601403222 、 13915181149
本文主旨:针对静压会对差压樱桃视频入口在线观看的测量准确度产生显著影响的问题,研制了一种新型的静压跟随式差压樱桃视频入口在线观看在线检测装置。该装置是基于差压传感器直接测量差压的原理,采用一个***的差压传感器作为标准器,在静压跟随条件下进行差压樱桃视频入口在线观看的检测。研究中采用了*小二乘法曲线拟合的修正方法,以降低差压型标准器的静压影响误差,提高标准器的准确度。
0 引言
差压樱桃视频入口在线观看实际使用时是在静压状态下测量液体、气体和蒸汽的差压,并将差压变量转换为可传送的标准化输出信号,主要用于工业过程差压参数的测量和控制。但是目前差压樱桃视频入口在线观看的检测通常是在低压端通大气的情况下进行的,没有在樱桃视频入口在线观看高、低压两端口施加静态过程压力,也就是在非静压状态进行检测,与实际使用状态不一致。据报道,英国、挪威和法国在近几年,从 14 个主要制造厂取得的16 台差压樱桃视频入口在线观看样品的静压性能进行了评估,取得了如下的结果:11 台仪表未能满足制造厂关于静压影响的规定指标,静压的影响远大于仪表的准确度要求,其中 2 台仪表在规定的静压值情况下,其量程的变化是其允许误差的 4 倍,可见,静压对差压樱桃视频入口在线观看技术特性影响极大。对于静压性能差的差压樱桃视频入口在线观看,在静压下的差压检测结果会产生很大的误差,如果在检测差压樱桃视频入口在线观看时没有施加规定的静态过程压力,则检测的可信度就会大大降低。我国《压力樱桃视频入口在线观看国家计量检定规程》对差压樱桃视频入口在线观看静态过程压力和静压影响有特别的规定 。
所以针对静压会对差压樱桃视频入口在线观看的差压测量产生静压影响误差的问题 ,研究了一套静压跟随式差压樱桃视频入口在线观看在线检测装置,在静压条件下进行差压的测量。
1 总体设计
静压跟随式差压樱桃视频入口在线观看在线检测装置是基于差压传感器直接测量差压的原理,采用一个***的差压传感器作为标准器,在高静压条件下进行差压樱桃视频入口在线观看的检测。由于***差压传感器本身就具有高静压下测量差压的性能,所以选择合适的***差压传感器直接测量差压是可行的。传感器型式的检测装置不同于传统的活塞式检测装置,更适合用于现场。
另外,项目**的装置用于在线检测,该装置的准确度等级是根据现场差压樱桃视频入口在线观看的技术指标来定位的,在线检测的差压樱桃视频入口在线观看多为 0. 5 级及以下准确度等级,所以该项目选择 0. 05 级***差压传感器作为在线测量装置的计量标准器。
2 装置的结构和工作原理
静压跟随式差压樱桃视频入口在线观看的在线检测装置主要由***的差压传感器、压力传感器、静压自动控制系统、高静压差压调控系统、平衡阀和信号处理电路及显示单元等几大部分组成,其结构原理框图如图 1所示。

在线检测装置基于差压传感器直接测量差压的原理,但静态工作压力应保持在工作压力状态,即静压下的差压测量。
***差压传感器的高、低压侧通过高、低压容腔分别与被测差压樱桃视频入口在线观看的高、低压侧相连接,高、低压容腔由一只平衡阀相连通。静压自动控制系统产生规定的静压压力 p 0 送至低压容腔,待压力平衡稳定后,***压力传感器采集到低压容腔压力值p L ,由于平衡阀开启,高压容腔压力 p H 与低压容腔压力 p L 相等,且均为静压压力值,即 pH = p L = p 0 ,此时差压为零。
关闭平衡阀,应用压力动态密封法,静压自动控制系统对低压容腔进行自动控压,经过稳压调整,使其压力始终保持静压值 p 0 。同时手动调节高静压差压调控系统,采用静压跟随的差压调控技术,增大高压容腔的压力值,分别送至差压樱桃视频入口在线观看和***差压传感器的高压侧,与低压侧形成压力差,于是***差压传感器直接采集到差压值 p,经过信号处理单元处理,*终以数显的形式在显示装置上指示出差压值 p,这里的 p 即为标准的差压值,换算成理论输出电流值,与被测差压樱桃视频入口在线观看的实际输出值之差即是差压樱桃视频入口在线观看的测量误差。
继续调节高静压差压调控系统,可得到在恒定静压下的各个差压值,由***差压传感器测量并显示在装置的显示单元上。以上过程实现了差压樱桃视频入口在线观看静压跟随下差压测量。
3 装置中标准器的选择
3. 1 标准器量值溯源的测量模型
***差压传感器是装置的标准器,如何选择准确度较高的差压传感器是项目研究的关键。该项目用高静压气体差压活塞式压力计作为***差压传感器的上一级计量标准器,进行量值传递。
***差压传感器进行量值溯源的测量模型为:

由测量模型可见,差压测量值的不确定度主要是由砝码质量 Δm、活塞有效面积 s 和重力加速度 g的不确定度分量引入的,如果各不确定度分量数值较小,则差压测量值的不确定度数值也较小。经过比较分析,将 0. 05 级的***差压传感器量值溯源至 0. 01 级的高静压气体差压活塞式压力计,符合量传体系的要求。
3. 2 标准器静压影响误差的修正
由于***差压传感器本身是差压型的传感器,无论从理论分析还是实际测量都可以发现静压对差压示值的影响。为提高差压传感器的准确度,采用了多重误差曲线的拟合,以减小差压传感器的输出误差。
用 0. 01 级高静压气体差压活塞式压力计,分别在静压 0,1,2,3,4 MPa 的条件下,对 0. 05 级的差压传感器(压力输出)进行了 3 个循环共 6 次测量,取6 次测量的平均值为传感器实际输出压力值,测试数据如表 1 所示。

测试数据表明,在相同静压作用下,基本上差压越大误差也越大,大致呈线性。随着静压的增大,测量误差随之增大。所以首先对相同静压下,传感器的实际输出差压值进行线性拟合 [3] 。
设 x 为标准差压值,z 为传感器实际输出差压值,利用*小二乘法的线性拟合,得到 0,1000,2000,3000,4000 kPa 的静压作用下的直线方程分别为:
z =1. 000 173x -0. 001 333 (1)
z =1. 000 053x -0. 001 778 (2)
z =0. 999 953x -0. 005 111 (3)
z =0. 999 847x -0. 018 222 (4)
z =0. 999 750x -0. 021 111 (5)
对式(1) ~ 式(5)分别求导,得到不同静压(0,1000,2000,3000,4000 kPa) 下 dz/dx 的值分别为1. 000 173,1. 000 050,0. 999 953,0. 999 847,0. 999 750。
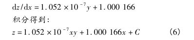
设 y 为静压力值,则不同静压与 dz/dx 的函数关系可运用*小二乘法进行线性拟合得到:

根据以上分析可知,式(6)中的 C 与静压值 y有以下对应关系:
y =0 时,C 1 = -0. 001 333;
y =1000 时,C 2 = -0. 001 778;
y =2000 时,C 3 = -0. 005 111;
y =3000 时,C 4 = -0. 018 222;
y =4000 时,C 5 = -0. 021 111。
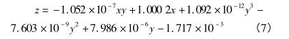
由此可见,C 函数可近似为高次方曲线,再一次利用*小二乘法进行曲线拟合可以得到修正公式:

采用式(7)进行修正后,对于静压为 0,1,2,3,4 MPa时的*大误差均有所减少。通过静压影响误差的修正,将***差压传感器的差压测量的准确度进行了优化,减少了静压带来的影响,提高了标准器的准确度。
4 实验
用静压跟随式差压樱桃视频入口在线观看在线检测装置(课题装置)测试了一台差压樱桃视频入口在线观看,在不同静压条件下的电流输出,与高静压气体差压活塞式压力计(标准装置)测量结果进行比对,结果如图2 ~图6 所示。

从以上各图可知:2 个测量结果具有良好的一致性,静压跟随式差压樱桃视频入口在线观看在线检测装置的检测结果完全可信。
5 结论
静压跟随式差压樱桃视频入口在线观看在线检测装置基于差压传感器直接测量差压的原理,较好地实现了差压樱桃视频入口在线观看在静压条件下差压的在线检测。该文提出的关于静压影响的数据拟合曲线是一种思路和尝试,今后可通过大量的实验数据来整理得出静压对各类型差压压力仪表误差的影响曲线,建立数学模型,减小静压影响误差,为差压型压力仪表的质量提升提供技术支持。
受欢迎产品
- 液位压力樱桃视频入口在线观看
- 压差樱桃视频入口在线观看
- 法兰式液位樱桃视频入口在线观看
- 静压式液位樱桃视频入口在线观看
- 隔膜压力樱桃视频入口在线观看
- 一体化温度樱桃视频入口在线观看
- 压力液位樱桃视频入口在线观看
- 3051压力樱桃视频入口在线观看
- 卫生型压力樱桃视频入口在线观看
- GPRS无线远传压力|差压|液位|樱桃视频入口在线观看,液位计
- 单法兰液位樱桃视频入口在线观看
- 防腐投入式液位樱桃视频入口在线观看
- 差压液位樱桃视频入口在线观看
- 磁翻板液位樱桃视频入口在线观看
- 双法兰液位樱桃视频入口在线观看
- 电容式液位樱桃视频入口在线观看
- 浮球液位樱桃视频入口在线观看
- 差压樱桃视频入口在线观看
- 电容式液位计
- 微压差樱桃视频入口在线观看
*新资讯文章
- 液位计的联锁值低于报警值是否不合理?
- 针对双法兰液位计膜片保护的安装改造方法详解
- 工业自动化设备中常用的压力樱桃视频入口在线观看
- 压力传感器的分类、特点以及用途
- 在稠油热采平台中如何对压力樱桃视频入口在线观看选型及安装的研究
- 智能液位樱桃视频入口在线观看在制浆造纸中的使用说明及维护方法
- 液位樱桃视频入口在线观看在制浆纸中的应用和维护情况介绍
- 压力樱桃视频入口在线观看常见故障的四点解决对策
- 加压锅炉汽包中利用差压樱桃视频入口在线观看测量封闭水箱水位的调试过程
- 浮球液位樱桃视频入口在线观看的产品原理及使用时的注意事项
- 关于生产卫生型压力樱桃视频入口在线观看的卫生级设计的**性要求
- 当使用平膜压力樱桃视频入口在线观看时出现以下误差是无法避免的
- 压力樱桃视频入口在线观看与压力传感器有什么不同
- 压力樱桃视频入口在线观看常见问题排查5点方法
- 简述单法兰与双法兰液位樱桃视频入口在线观看区别有哪些?
- 为什么压力樱桃视频入口在线观看的信号输出常用的是4-20mA dc的原因分析
- 简述电容式、扩散硅、陶瓷式微差压樱桃视频入口在线观看的区别
- 国内液位樱桃视频入口在线观看产业的发展趋势
- 电容式压力樱桃视频入口在线观看的应用范围及产品特点介绍
- 决定电容式压力樱桃视频入口在线观看的选型的几个关键参数要求及相应方法











